- 2022tysc0250 的博客
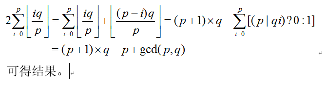
题目做法
- @ 2024-3-9 9:57:07
得出 。
$∴原式=\dfrac{0q}{p}-\dfrac{0q\mod p}{p}+\dfrac{1q}{p}-\dfrac{1q\mod p}{p}+\dots+\dfrac{pq}{p}-\dfrac{pq\mod p}{p}$
$=\dfrac{q(p+1)}{2}-\dfrac{(0q\mod p)+(1q\mod p)+\dots+pq\mod p}{p}$。
设 。
$∴原式=\dfrac{q(p+1)}{2}-d\times\dfrac{p(\dfrac{p}{d}-1)}{2p})=\dfrac{q(p+1)}{2}-d\times\dfrac{(\dfrac{p}{d}-1)}{2})$。
